



Στο πλαίσιο του CodeWeek4All και του eTwinning προγράμματος "My City – Your City", οι μικροί μας μαθητές γίνονται καλλιτέχνες και δημιουργούν Pixel Art για να παρουσιάσουν την πόλη τους! 🏙️✨
🔹 Τι κάνουμε:
Με τη βοήθεια του Excel, του Google Sheets ή μιας online εφαρμογής Pixel Art (Pixilart, Piskel), οι μαθητές φτιάχνουν ένα μικρό ψηφιδωτό σχέδιο που αντιπροσωπεύει κάτι χαρακτηριστικό από την πόλη ή τη χώρα τους.
🔹 Πώς δουλεύουμε:
1️⃣ Ανοίγουμε το Excel ή το Google Sheets και δημιουργούμε ένα πλέγμα με τετράγωνα κελιά (π.χ. 20x20).
2️⃣ Οι μαθητές επιλέγουν το θέμα τους: τη σημαία της χώρας 🏳️, το όνομα της πόλης τους, ένα τοπικό αξιοθέατο 🏛️, ή οποιοδήποτε άλλο χαρακτηριστικό τους εμπνέει.
3️⃣ Χρωματίζουν τα κελιά σαν “pixels” για να δημιουργήσουν το έργο τους.
4️⃣ Σώζουμε την εικόνα (screenshot ή αποθήκευση αρχείου) και την ανεβάζουμε στο padlet, που δημιουργήσαμε για την δραστηριότητα, στην στήλη της πόλης μας.
🔹 Μαθαίνουμε παίζοντας:
Τι είναι το pixel art και πώς φτιάχνεται με ψηφίδες.
Πώς μπορούμε να παρουσιάσουμε τον πολιτισμό και την πόλη μας μέσα από την τεχνολογία.
Πώς συνεργαζόμαστε και μοιραζόμαστε τις δημιουργίες μας με μαθητές από άλλες χώρες. 🌍
🔹 Το τελικό βήμα:
Όλες οι ζωγραφιές θα συγκεντρωθούν σε ένα κοινό Padlet, δημιουργώντας μια μικρή ψηφιακή παρουσίαση της κάθε πόλης.
Πατήστε εδώ για να δείτε το padlet μας "Our Cities in Pixel Art"
Μια συνεργατική αποστολή γεμάτη γρίφους, δημιουργία και… πολλή φιλία!
"Ξέρετε ότι οι άνθρωποι εδώ και χιλιάδες χρόνια στέλνουν μυστικά μηνύματα; Οι πειρατές είχαν μυστικούς χάρτες, οι στρατιώτες έστελναν κρυφούς κώδικες, ακόμα και σήμερα οι υπολογιστές μιλούν μεταξύ τους με έναν δικό τους μυστικό κώδικα, τον κώδικα του υπολογιστή!
Έτσι και εμείς σήμερα θα γίνουμε μικροί κωδικοποιητές. Θα γράψουμε μηνύματα φιλίας, ,αλλά... σε μυστική γλώσσα! Και οι φίλοι μας θα πρέπει να τα αποκρυπτογραφήσουν!"
Σ’ αυτήν τη συνεργατική δράση του 1ου και 13ου Δημοτικού Σχολείου Δράμας, οι μαθητές των Γ και Δ τάξεων γίνονται Μυστικοί Πράκτορες Φιλίας και αναλαμβάνουν να δημιουργήσουν, να κωδικοποιήσουν και να ανακαλύψουν μυστικά μηνύματα φιλίας. Μέσα από παιχνίδι, συνεργασία και λίγη «μυστική» τεχνογνωσία, η φιλία γίνεται μια συναρπαστική περιπέτεια.
🔑 Πώς εξελίσσεται το παιχνίδι βήμα- βήμα
Όλα τα παιδιά συγκεντρώνονται στην αυλή. Οι εκπαιδευτικοί εξηγούν ότι πρόκειται να ζήσουν μια εμπειρία σαν να είναι πράκτορες μυστικής αποστολής.
Συζητούν μαζί τι σημαίνει φιλία.
Μαθαίνουν πώς γράφουμε λέξεις με έναν μυστικό κώδικα, όπου κάθε γράμμα αντιστοιχεί σε σύμβολο.
Τα παιδιά χωρίζονται σε μικτές ομάδες των 4 ατόμων (δύο παιδιά από κάθε σχολείο).
Σκέφτονται και γράφουν μια μικρή φράση φιλίας (3–6 λέξεις). Όπως για παράδειγμα: "Μαζί είμαστε πιο δυνατοί", "Η φιλία κάνει τη μέρα μας πιο όμορφη".
Χρησιμοποιούν τον δικό τους πίνακα-κλειδί με σύμβολα (αστεράκια, κύκλους, σημάδια) για να την κωδικοποιήσουν (στο Πρόχειρο χαρτί).
Βάζουν το κωδικοποιημένο μήνυμα καθώς και το Μήνυμα φιλίας στον φάκελο "Μήνυμα φιλίας- Ομάδα π.χ 1".
💡 Μυστικό πράκτορα tip: όσο πιο πρωτότυπο το μήνυμα, τόσο πιο ωραία θα είναι η αποκάλυψη!
Η ομάδα επιλέγει ένα σημείο στον χώρο (π.χ. στον μπλε κώνο, στο κόκκινο στεφάνι).
Στο δεύτερο χαρτί "Κρυψώνα" γράφει το σημείο κρυψίματος, επίσης με μυστικό κώδικα.
Τοποθετεί το χαρτί και τον πίνακα- κλειδί στον δεύτερο φάκελο "Κρυψώνα- Ομάδα π.χ 1".
Οι μισές ομάδες (ομάδες 1-6) απομακρύνονται, ενώ οι άλλες (ομάδες 7-12) κρύβουν τους φακέλους τους χωρίς να τις δει κανείς.
Έπειτα αλλάζουν ρόλους, ώστε όλες οι ομάδες να κρύψουν τους φακέλους τους, προσέχοντας το νούμερο της ομάδας να κρύβεται.
Κάθε ομάδα παραλαμβάνει έναν φάκελο από την ομάδα με την οποία θα ανταλλάξει τα μηνύματα φιλίας.
Με τον πίνακα-κλειδί που θα βρει μέσα στον φάκελο, αποκωδικοποιεί το σημείο κρυψίματος.
Βρίσκει το μυστικό μήνυμα και το αποκωδικοποιεί.
Όλες οι ομάδες διαβάζουν δυνατά τα αποκωδικοποιημένα μηνύματα.
Μαζί δημιουργούν μια μεγάλη αφίσα φιλίας με όλα τα όμορφα λόγια που γράφτηκαν.
Ακολουθεί μια σύντομη συζήτηση:
Πώς νιώσαμε όταν λύσαμε τον γρίφο;
Τι μάθαμε για τη συνεργασία;
Πώς βοηθάει ο κώδικας στο παιχνίδι;
✨ Συνεργασία και μυστικότητα είναι το κλειδί.
✨ Κανείς δεν αποκαλύπτει το κρησφύγετο της ομάδας του.
✨ Η καλή διάθεση κάνει το παιχνίδι ακόμα πιο μαγικό.
Η φιλία είναι σαν τον ήλιο – φωτίζει τη ζωή μας! 🌞
Μια δράση που συνδυάζει δημιουργική γραφή, μαθηματικά μοτίβα και ομαδικό πνεύμα, δείχνοντας ότι όταν συνεργαζόμαστε, τα πιο όμορφα μυστικά αποκαλύπτονται!
Πατήστε εδώ για να κατεβάσετε τον "Πίνακα κλειδί".
Πατήστε εδώ για να κατεβάσετε το χαρτί "Μήνυμα φιλίας".
Πατήστε εδώ για να κατεβάσετε το χαρτί "Κρυψώνα".
Πατήστε εδώ για να κατεβάσετε το "Πρόχειρο".
Στο πλαίσιο του CodeWeek4All και του eTwinning προγράμματος "Santa's Suitcase-A European Christmas Journey" , οι μικροί μας προγραμματιστές μπαίνουν σε… χριστουγεννιάτικη αποστολή!
🔹 Τι κάνουμε:
Με ένα μεγάλο χαρτονένιο πλέγμα (4x4 ή 5x5), εκτυπωμένες εικόνες του Άγιου Βασίλη, του δώρου του και μερικά χιονισμένα εμπόδια, οι μαθητές πρέπει να βρουν τη σωστή διαδρομή για να φτάσει ο Άγιος Βασίλης στο πακέτο του.
🔹 Πώς παίζουμε:
1️⃣ Τοποθετούμε τον Άγιο Βασίλη και το δώρο σε τυχαία τετράγωνα του πλέγματος.
2️⃣ Οι ομάδες μαθητών χρησιμοποιούν κάρτες εντολών CodyRoby – Μπροστά, Αριστερά, Δεξιά – για να φτιάξουν έναν αλγόριθμο που θα τον οδηγήσει βήμα-βήμα.
3️⃣ Εκτελούμε τις εντολές: αν κάτι πάει… «στραβά», γίνεται debugging και νέα προσπάθεια!
🔹 Μαθαίνουμε παίζοντας:
Τι σημαίνει αλγόριθμος και πόσο σημαντική είναι η σειρά των βημάτων.
Πώς συνεργαζόμαστε και διορθώνουμε λάθη σαν πραγματικοί προγραμματιστές.
Η τάξη μας γέμισε χριστουγεννιάτικη ατμόσφαιρα, γέλια και μικρούς «κωδικογράφους» που οδήγησαν τον Άγιο Βασίλη στο δώρο του με απόλυτη επιτυχία! 🎁💡
Πατήστε πάνω για να κατεβάσετε την εικόνα του Άη Βασίλη, το δώρο, ένα χιονισμένο δέντρο και μία χιονοθύελλα.
Για να κατεβάσετε τις κάρτες τύπου CobyRoby, πατήστε πάνω στο όνομά τους:
Δείτε εδώ το βίντεο της Δραστηριότητας.
Σε αυτή τη διαδραστική δραστηριότητα με το Scratch, οι μαθητές αφού χωριστούν σε ομάδες, δημιουργούν ένα εκπαιδευτικό παιχνίδι όπου η γατούλα ταξιδεύει σε διάφορες χώρες της Ευρώπης. Σε κάθε σκηνή, εμφανίζεται μια εικόνα από ένα διάσημο ευρωπαϊκό αξιοθέατο (π.χ. Πύργος του Άιφελ, Ακρόπολη, Μπιγκ Μπεν), και η γατούλα ζητάει τη βοήθεια του χρήστη για να βρει σε ποια χώρα βρίσκεται.
Ο χρήστης καλείται να γράψει την απάντηση. Αν η απάντηση είναι σωστή, η γατούλα προχωρά στο επόμενο αξιοθέατο. Αν όχι, συνεχίζει να ζητά τη βοήθεια του χρήστη.
Το παιχνίδι ενσωματώνει στοιχεία κώδικα, επανάληψης και ελέγχου συνθηκών, ενώ ταυτόχρονα καλλιεργεί τη γεωγραφική γνώση και την παρατηρητικότητα.
Η δραστηριότητα αυτή βοηθά τα παιδιά να αναπτύξουν δεξιότητες προγραμματισμού με Scratch, να γνωρίσουν σημαντικά ευρωπαϊκά αξιοθέατα και χώρες, να ενισχύσουν τη δημιουργικότητα και την αλληλεπίδραση με τον χρήστη και να καλλιεργήσουν δεξιότητες ελέγχου ορθότητας και διαλόγου στον κώδικα.
Πατήστε εδώ, για να κατεβάσετε τις οδηγίες της Δραστηριότητας.
Πατήστε εδώ, για να κατεβάσετε μία ενδεικτική λύση για τη δραστηριότητα αυτή.
Το Pixel Art είναι μια δημιουργική τεχνική ψηφιακής τέχνης, όπου εικόνες δημιουργούνται από μικρά τετράγωνα χρώματος – τα γνωστά εικονοστοιχεία (pixels). Αποτελεί έναν διασκεδαστικό τρόπο για να γνωρίσουν οι μαθητές τη δομή των ψηφιακών εικόνων, αναπτύσσοντας ταυτόχρονα δεξιότητες προγραμματιστικής σκέψης και δημιουργικότητας.
Στη δραστηριότητα αυτή, οι μαθητές αφού χωριστούν σε ομάδες, παίρνουν πίνακες pixel art με σημαίες ευρωπαϊκών χωρών, αποκρυπτογραφούν τον κώδικα και βρίσκουν την σημαία, χρησιμοποιώντας φύλλα Excel. Αφού ολοκληρώσουν τη σημαία και αναγνωρίσουν ή βρουν σε ποια χώρα ανήκει, παίρνουν ένα στιγμιότυπο οθόνης και το τοποθετούν στο φύλλο δραστηριότητας τους στο Word. Εκεί προσθέτουν πληροφορίες για τη χώρα αυτή, όπως η πρωτεύουσα και τα πιο γνωστά αξιοθέατα της.
Οι μαθητές με τη δραστηριότητα αυτή εξοικειώνονται με την έννοια των pixels και της ψηφιακής απεικόνισης, αναπτύσσουν δεξιότητες κωδικοποίησης και δημιουργικής έκφρασης, εμβαθύνουν στις γεωγραφικές και πολιτισμικές γνώσεις για την Ευρώπη και καλλιεργούν πνεύμα συνεργασίας με τους συμμαθητές τους.
Για να κατεβάσετε το φύλλο εργασίας της ομάδας σας, πατήστε πάνω στο όνομά της:
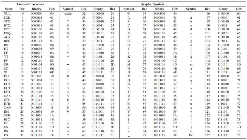
Ο κώδικας ASCII είναι ένα σύστημα που χρησιμοποιούν οι υπολογιστές για να μετατρέπουν γράμματα, αριθμούς και σύμβολα σε αριθμούς, σε 0 και 1 δηλαδή, (περνάει ή δεν περνάει ρεύμα), την μόνη “γλώσσα” που γνωρίζει ο υπολογιστής. Κάθε χαρακτήρας έχει έναν μοναδικό αριθμό – για παράδειγμα, το γράμμα Α είναι ο αριθμός 65, δηλ ο αριθμός 10000001.
Στην δραστηριότητα αυτή λοιπόν, οι μαθητές μαθαίνουν πώς οι υπολογιστές αναγνωρίζουν τα γράμματα μέσω του κώδικα ASCII και τον χρησιμοποιούν για να αποκαλύψουν ονόματα ευρωπαϊκών χωρών. Σε ομάδες, κρυπτογραφούν ονόματα ευρωπαϊκών χωρών στα αγγλικά (π.χ. 70 82 65 78 67 69 → FRANCE) και στη συνέχεια καλούν μία άλλη ομάδα να αποκρυπτογραφήσει τη λέξη και να μας δείξει στον χάρτη τη χώρα αυτή. Κάθε σωστή απάντηση προσθέτει ένα πόντο στην ομάδα.
Η δραστηριότητα αυτή καλλιεργεί δεξιότητες ψηφιακού γραμματισμού, κωδικοποίησης και γεωγραφίας με έναν ευχάριστο και διασκεδαστικό τρόπο.
Πατήστε εδώ για να κατεβάσετε τον κώδικα ASCII.
Ο κώδικας ASCII είναι ένα σύστημα που χρησιμοποιούν οι υπολογιστές για να μετατρέπουν γράμματα, αριθμούς και σύμβολα σε αριθμούς, σε 0 και 1 δηλαδή, (περνάει ή δεν περνάει ρεύμα), την μόνη “γλώσσα” που γνωρίζει ο υπολογιστής. Κάθε χαρακτήρας έχει έναν μοναδικό αριθμό – για παράδειγμα, το γράμμα Α είναι ο αριθμός 65, δηλ ο αριθμός 10000001.
Μέσα από ένα συναρπαστικό παιχνίδι κυνηγιού θησαυρού, οι μαθητές ανακαλύπτουν τη δύναμη του κώδικα ASCII. Κάθε στοιχείο του παιχνιδιού είναι γραμμένο με ASCII αριθμούς και οι μαθητές καλούνται να το αποκωδικοποιήσουν για να προχωρήσουν στο επόμενο βήμα.
Οι μαθητές θα χωριστούν σε δύο ομάδες. Θα πάρουν η κάθε μία από ένα θησαυρό και έναν εκτυπωμένο πίνακα ASCII, ο οποίος θα τους βοηθήσει να κωδικοποιήσουν και έπειτα να αποκωδικοποιήσουν τα μηνύματα τους . Θα δημιουργήσουν 5 μηνύματα με τις λέξεις στα αγγλικά σε κώδικα ASCII που θα κρύψουν στον χώρο (σε χαρτί διαφορετικού χρώματος για την κάθε ομάδα) και έπειτα θα κρύψουν τα μηνύματα, ενώ η άλλη ομάδα δεν θα κοιτάει. Μόλις κρύψουν και οι δύο ομάδες τα μηνύματά τους το παιχνίδι είναι έτοιμο να ξεκινήσει.
Η δραστηριότητα αναπτύσσει δεξιότητες ψηφιακού και αγγλικού γραμματισμού, συνεργασίας, κριτικής σκέψης και βασικές αρχές της πληροφορικής, χωρίς τη χρήση υπολογιστή!
Πατήστε εδώ για να κατεβάσετε και να εκτυπώσετε τον πίνακα ASCII.
Πατήστε εδώ για να εκτυπώσετε τον θησαυρό για τις δύο ομάδες.
Σε αυτή τη συνεργατική δραστηριότητα, οι μαθητές χωρίζονται σε μικρές ομάδες και ξεκινούν ένα ταξίδι μυστηρίου με θέμα την υπολογιστική σκέψη. Κάθε ομάδα καλείται να αποκωδικοποιήσει μια κρυπτογραφημένη πρόταση, χρησιμοποιώντας έναν απλό πίνακα αντιστοίχισης γραμμάτων με σύμβολα.
Αφού οι ομάδες "σπάσουν" τους δικούς τους γρίφους, ενώνουν τις αποκωδικοποιημένες προτάσεις τους, οι οποίες μαζί σχηματίζουν δύο αινίγματα. Καλούνται, λοιπόν, να συνεργαστούν όλοι μαζί για να λύσουν τα δύο αινίγματα με θέμα τον προγραμματισμό και την τεχνολογία.
Στο τέλος, οι μαθητές κωδικοποιούν την απάντησή τους χρησιμοποιώντας τον ίδιο πίνακα και την παρουσιάζουν στην τάξη.
Η δραστηριότητα αυτή συνδυάζει τη γλώσσα και τη λογική σκέψη με τρόπο διασκεδαστικό και συμμετοχικό, ενισχύοντας τη συνεργασία και τις βασικές δεξιότητες προγραμματισμού.
Πατήστε πάνω στο όνομα κάθε ομάδας, για να κατεβάσετε το φύλλο δραστηριότητας της.
Σε αυτή τη διασκεδαστική δράση για το CodeWeek4All, οι μαθητές εργάζονται σε ομάδες και μεταμορφώνονται σε μικρούς κωδικο-ντετέκτιβ! Κάθε ομάδα λαμβάνει ένα αίνιγμα σχετικό με τον προγραμματισμό ή την τεχνολογία. Αφού λύσει το αίνιγμα, κωδικοποιεί την απάντηση με έναν απλό κώδικα που της έχει δοθεί.
Στη συνέχεια, καλεί μια άλλη ομάδα να αποκωδικοποιήσει την απάντηση, με τον ίδιο κώδικα και να την γράψει από κάτω. Βρήκαν οι δύο ομάδες την ίδια απάντηση ή κάπου χαθήκαν στην μετάφραση;
Η δραστηριότητα αυτή ενισχύει την υπολογιστική σκέψη, την κριτική ανάλυση, την επικοινωνία και τη συνεργασία, και εισάγει τα παιδιά με παιχνιδιάρικο τρόπο στις βασικές έννοιες της κωδικοποίησης και αποκωδικοποίησης.
Για να κατεβάσετε τα φύλλα δραστηριότητας της κάθε ομάδας, πατήστε πάνω στην ομάδα: